Binance上線路徑研究報告:Alpha、IDO、Futures、Spot以及后續CEX表現全拆解
作者:Retardio,來源:IOSGVentures
本研究分析了Binance四大上幣渠道——Alpha、IDO、Futures和Spot——的Tokens生命周期表現,并跟蹤其在Bitget、Bybit、Coinbase、Upbit上的后續上線情況,重點考察了回報表現、上幣節奏、賽道偏好及FDV區間。1.表現回顧
大多數渠道的14天FDV中位數為負,反映出多數項目上線即為估值高點;
BinanceAlpha表現最具爆發力(均值220%),但波動性大;
BinanceIDO有良好平衡的短期漲幅和較高轉化率(至Futures和Spot);
BinancSpot短期表現最弱,或因成為早期投資人退出點;
Bitget和Coinbase在二級市場上表現亮眼,Bybit和Upbit較為一般。2.按FDV區間選擇平臺
BinanceSpot偏好大市值項目(>$500M);
Alpha主要支持<$200M的早期項目,適合試水;
IDO聚焦于$70M–$200M的中型項目;
Bitget/Bybit區間靈活,但更偏向有增長勢能或大市值項目;
Coinbase/Upbit偏好合規性強、估值高的項目。3.上幣時間預期
Alpha→Spot:平均約60天;
IDO→Spot:平均約17天;
Futures→Spot:平均僅14天;
Futures可能是最快捷的通道。4.賽道偏好
Alpha:偏好Meme、AI;
IDO:偏好Infra、AI;
Spot:覆蓋Infra、Meme、AI;
Futures:更廣泛,主打Infra、AI、Meme;
項目方需根據平臺偏好調整敘事方向。5.上幣路徑進階
Alpha→Futures:轉化率37.8%
Alpha→Spot:轉化率12.2%
IDO→Futures:轉化率66.7%
IDO→Spot:轉化率23.8%
實現約40%的FDV上漲是進入下階段平臺的共性特征。6.替代平臺表現
Bitget是最具承接力的其他CEX,尤其對Alpha/IDO項目友好;
Bybit對IDO項目也有較高承接意愿;
Coinbase/Upbit上線項目極少,審核嚴格,周期較長。
本研究聚焦于Binance上線渠道(Alpha、社區普遍稱作IDO的ExclusiveTGE、Futures和Spot)中Tokens的生命周期表現,并跟蹤這些項目在Bitget、Bybit、Upbit和Coinbase等CEX(CEX)上的后續上線路徑。分析內容涵蓋Tokens回報表現、上線時機、項目賽道偏好及估值分布(FDVdynamics),旨在為項目方提供戰略性的上幣路徑建議,也為投資者建立基于數據的價格發現與交易策略評估框架。術語解釋:Binance的Spot/Futures/IDO/Alpha上市分別指什么?
BinanceSpot(現貨)是幣安最基礎的交易平臺,用戶可按當前市價買入或賣出Tokens,一旦成交即完成資產交割,可自由持有、轉賬或出售。
BinanceFutures(合約)提供Crypto衍生品交易服務,用戶可做多或做空,并使用杠桿放大收益或損失。
BinanceIDO是面向散戶用戶的公募渠道,用戶通過質押BNB或完成Binance團隊設定的AlphaQuest任務,參與新項目在BNB鏈上的Tokens發行,通常發生在Tokens正式上線其他平臺之前。
BinanceAlpha是Binance推出的Tokens發現平臺,集成了BNBChain上的Pancakeswap及其他鏈上DEX,支持早期階段具有增長潛力的項目,強調實驗性與Tokens多樣性。研究范圍
交易所選擇:本研究跟蹤的項目均最初在Binance系列渠道上線,其后續在Bitget、Bybit、Coinbase、Upbit上的上線表現也納入考察,這些平臺是在Binance之后最常見的CEX。
時間限制:僅納入2025年2月之后的上線事件。該時間點用于過濾過時的市場邏輯,更貼合當前的上線動態。
無論是對項目方還是投資人來說,理解Tokens的上線路徑都極其重要:
對項目方而言,不同平臺的表現將直接影響資源投放和上線節奏安排;
對投資人來說,Tokens在不同平臺的表現,是制定倉位管理、判斷是否追高的重要依據。1.價格發現1.1回報率
指標定義:我們在本節衡量Tokens上線后14天內FDV的漲跌幅,以評估不同平臺的短期價格發現能力。我們以上線首日收盤價對應的FDV為基準,比較第14天內的最高FDV。

BinanceAlpha:平均沖高幅度達220%,中位數為19.7%。部分項目僅有小幅波動,但也有不少項目在上線后迎來劇烈拉升,展現出Alpha較強的短期投機性及價格發現能力,是所有平臺中上漲潛力最強的渠道。
BinanceIDO:平均沖高約75%,中位數為11.5%。多數項目上線后有不錯的炒作。
BinanceFutures:平均沖高27%,中位數僅4.1%。有一定流量導入,對價格推動有一定作用,并且是不錯的輔助曝光平臺。
BinanceSpot:表現不盡人意,平均沖高僅15%,中位數0.9%。因市場預期已兌現,項目上線即遭遇強拋壓。
Coinbase:平均沖高60%,中位數為21.1%。在所有CEX中催化效果最強,主要受益于美國用戶基礎,但是上幣頻率低。
Bybit/Bitget:平均沖高70–80%,中位數均在20%左右,投機氛圍濃厚,短線波動明顯,算是非常不錯的上幣選擇。
Upbit:平均沖高35%,中位數為0%。交易深度較弱,用戶熱情也相對有限。2.上市時的FDV分布
本節從當前各平臺上線項目的FDV分布出發,為項目方提供路徑規劃建議。不同估值階段的項目適合不同的上線渠道,了解平臺的FDV接受區間,有助于團隊更精準地匹配上線節奏與平臺策略。

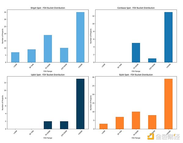
BinanceSpot:超過60%的項目FDV高于5億美元,明顯偏好大市值項目。平臺對項目體量、投資機構背景有較高要求,更適合估值已具規模的成熟項目。
BinanceAlpha:覆蓋區間廣,FDV多集中在2億美元以下。符合Alpha“實驗場”定位,適合估值偏早期但具備潛力的項目。
BinanceFutures:超過一半的項目FDV超過5億美元,但在7000萬–5億美元區間也有一定分布。Futures更像是對已上市項目的跟進渠道,適合估值已相對穩固的項目。
BinanceIDO:FDV多集中在7000萬–2億美元之間,表明其偏好中市值項目。適合在產品、社區和策略準備充分后進行的公開發行。
Bitget:覆蓋從3000萬以下到5億以上的完整估值區間,集中分布在7000萬–2億美元和5億美元以上。說明平臺接受度高,但更偏好已有熱度或機構背書的中大盤項目。
Bybit:接近一半項目FDV高于5億美元,且7000萬–2億美元區間也有良好覆蓋。具備承接短期熱度和推動中市值項目的雙重能力。
Coinbase:項目FDV幾乎全部高于5億美元,體現其合規門檻與高市值偏好,平臺更適合已經成熟、合規性強的項目。
Upbit:上線項目全部高于2億美元,且大多數超出5億美元門檻。說明韓國市場對市值要求高,更適合作為后期補充渠道。3.平臺的賽道偏好
項目方需要了解不同平臺在賽道選擇上的偏好差異。以下分析僅聚焦于Binance四大渠道在賽道維度的分布情況。

Alpha→Futures:轉化率為37.8%(31/82),是一個較為有效的前置渠道。
Alpha→Spot:轉化率僅12.2%(10/82),整體較低。
IDO→Futures:轉化率最高,達到66.7%(14/21)。
IDO→Spot:轉化率為23.8%(5/21),優于Alpha。
Alpha更適合作為早期試水渠道,超過三成項目成功進入Futures,但要晉升Spot,依然需要較強的基本面與市場表現。相比之下,IDO項目在品牌認知和社區基礎上更扎實,具備更高的晉升潛力。項目方應將Alpha和IDO視為進入Binance體系的起點,而非終點。4.1項目表現門檻
那些成功從Alpha/IDO晉升至BinanceSpot的項目,在早期階段表現如何?有沒有可借鑒的規律?

Alpha→Spot:平均等待約60天,部分項目甚至超過120天。整體分布較廣,說明該路徑不具備可預測性,更適合作為探索階段的平臺,而非直接通向Spot的跳板。
Alpha→Futures:平均僅需30天,節奏明顯快于Spot,具備更強的市場響應效率。
IDO→Spot與IDO→Futures:平均等待時間均為17天,大多數項目可在上線后1個月內完成。得益于其強社區動員和統一節奏安排,IDO項目在后續上幣路徑上節奏相對可控。
Futures→Spot:為所有路徑中最快,平均僅14天,且時間分布高度集中。
若團隊目標是快速實現BinanceSpot上市,Futures是當前觀察到最具確定性的中轉路徑。5.替代路徑:進軍其他CEX
并非所有項目都將BinanceSpot作為唯一目標。越來越多的項目在Alpha或IDO后轉向Bitget、Bybit、Coinbase、Upbit等主流平臺。部分平臺反應迅速、流動性可觀,成為實際替代選項。5.1上市數量
項目在Alpha或IDO后,究竟有多少順利進入其他主流CEX?

Bitget:Alpha項目平均約14天,IDO項目更快,僅13天。不少IDO項目在TGE當天同步上線。
Bybit:Alpha項目約13天,IDO同樣在TGE當天上線。
Coinbase:僅上線Alpha項目,平均約29天。
Upbit:僅上線IDO項目,平均約31天。
Bitget和Bybit節奏較快,適合快節奏上線;Coinbase和Upbit節奏偏慢,需配合本地合規和社區節奏。5.3其他CEX的價格發現能力
下圖為Alpha和IDO項目在各CEX上線后的14天平均漲幅:
